Este Blog resume el artículo “Decentralization of health care systems and health outcomes: Evidence from a natural experiment”, publicado en Social Science and Medicine, y seleccionado como mejor artículo publicado en Economía de la Salud (2017).
1. Antecedentes
Las reformas descentralizadoras se han extendido en los últimos años en muchos países. Pese a la indudable motivación política que sustenta la implementación de estas reformas, la teoría económica sostiene que la descentralización podría además tener efectos significativos sobre la eficiencia, la equidad en la provisión de los servicios públicos o el crecimiento económico (Ahmad, Brosio y Tanzi, 2008).
El impacto positivo de la descentralización se basa en el supuesto de que la descentralización mejora la información de los decisores sobre las necesidades locales e incentiva la corresponsabilidad política de los decisores políticos que deben responder ante sus votantes. Sin embargo, existen algunos otros argumentos que contrarrestan estos efectos, como son la existencia de importantes externalidades en la provisión de determinados bienes como las vacunas, que podrían incentivar el efecto “free rider” o “gorrón”, o las deseconomías de escala, por ejemplo en la oferta hospitalaria. Además, a menos que haya una adecuada compensación niveladora para las regiones menos prósperas, una descentralización financiada exclusivamente a través de recursos propios podría derivar en importantes desigualdades territoriales. Es por todo ello que resulta complicado establecer a priori el efecto de la descentralización sobre la salud.
Actualmente, existe cada vez más literatura que trata de investigar la relación entre descentralización fiscal y varios indicadores de salud, como es la mortalidad infantil (ver por ejemplo, Cavalieri y Ferrante, 2016). En general, los resultados de estos estudios apuntan a una asociación negativa entre mortalidad infantil y descentralización fiscal, especialmente cuando la descentralización implica una corresponsabilidad fiscal amplia para las regiones en términos de autonomía en el gasto o en el ingreso. Sin embargo, posiblemente debido a la falta de datos, los resultados asociados a otros tipos de descentralización han sido escasamente estudiados hasta la fecha.
España constituye un interesante caso de estudio, puesto que la descentralización en materia de sanidad se implementó de forma gradual (desde 1981) y el orden por el cual las Comunidades Autónomas reciben las trasferencias en materia sanitaria se debe a motivos políticos y culturales, más que a indicadores relacionados con la salud (Rico y Costa-Font, 2005). Esto nos permite obtener el impacto causal que estas reformas tienen sobre la salud infantil.
2. ¿Cómo contribuye nuestro artículo a la literatura científica?
Nuestro trabajo contribuye a la literatura sobre descentralización sanitaria y resultados en salud de varias maneras. En primer lugar, a diferencia de la mayoría de estudios sobre esta cuestión, la metodología utilizada en este estudio explota las diferencias exógenas en el proceso descentralizador entre Comunidades Autónomas, empleando técnicas estadísticas que se están extendiendo progresivamente en el campo de la evaluación de políticas públicas (event study, diseño cuasi-experimental).
En segundo lugar, la estrategia empírica empleada nos permite evitar las medidas de descentralización típicamente basadas en volumen de gasto o en ingresos a cargo de los gobiernos regionales, que no permiten capturar otros aspectos relevantes del proceso descentralizador, como son el nivel de autonomía en el gasto/ingreso o la adecuación a las necesidades a nivel local.
En tercer lugar, nuestras medidas de resultados incluyen no sólo la mortalidad infantil convencional, empleada en la mayoría de estudios publicados en esta área, sino también la mortalidad neonatal. Mientras que la mortalidad post-neonatal está estrechamente asociada a factores tanto socioeconómicos como sanitarios, la mortalidad neonatal es un indicador de resultados en salud más estrechamente relacionado con la calidad del sistema sanitario (Nolte, Bain and McKee, 2010).
Por último, nuestro estudio explota la implementación asimétrica de la descentralización en España, permitiendo así comparar el impacto de diferentes tipos de descentralización: descentralización total (fiscal y política, financiada mediante fuentes de ingresos propios) frente a descentralización puramente política (financiada mediante transferencias, en su mayoría). Según la literatura sobre federalismo fiscal, los diferentes tipos de descentralización pueden tener un impacto diferenciado en los patrones de gasto del gobierno regional (ver, por ejemplo, Liberati y Sacchi, 2013).
3. ¿Cuáles son los resultados principales de nuestro trabajo?
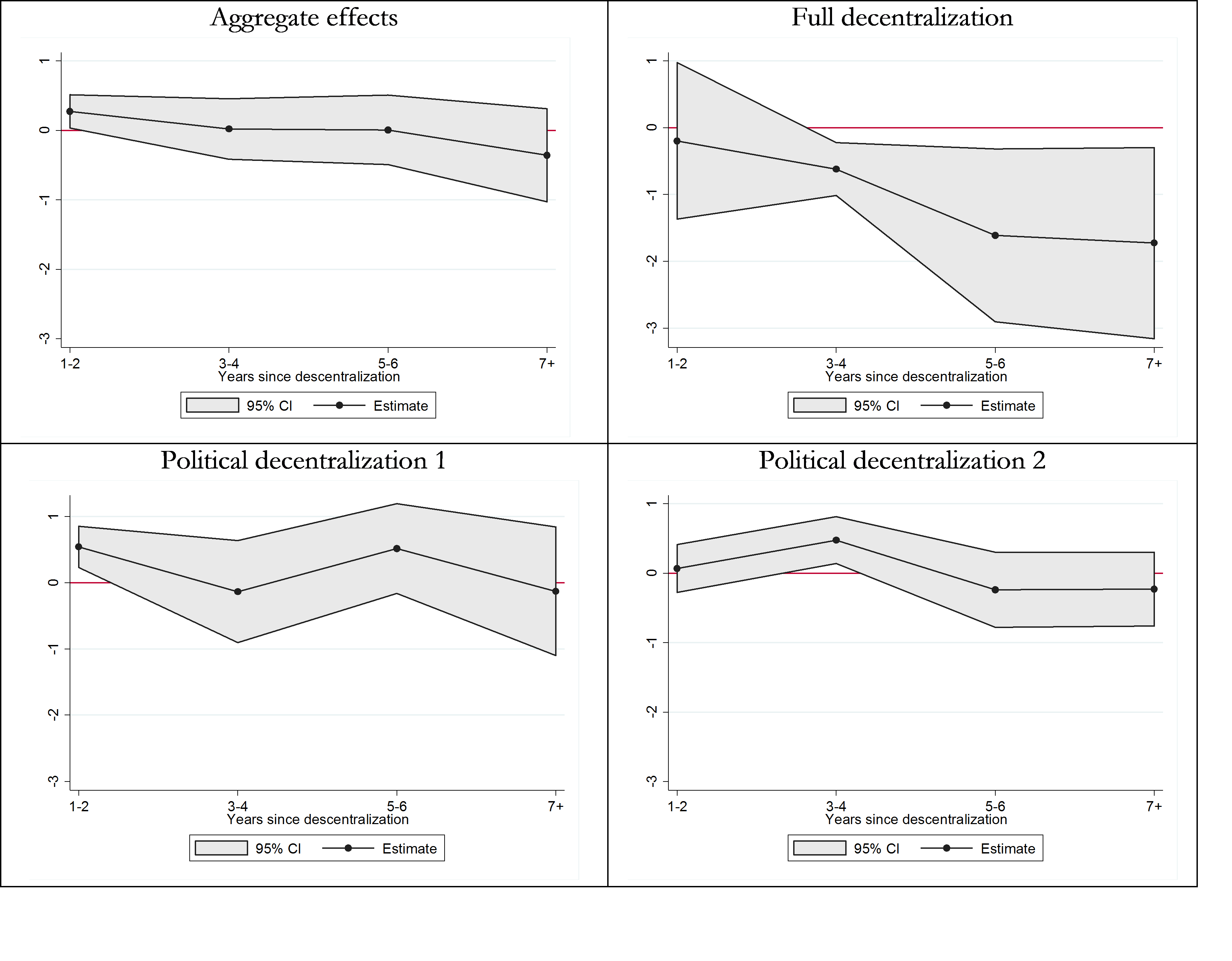
Los principales resultados de nuestro estudio se muestran en la Figura 1 (mortalidad neonatal) y en la Figura 2 (mortalidad infantil). Los gráficos muestran el efecto de la reforma tras los dos primeros años de su implementación, en los siguientes dos años, en los años 5 y 6 desde la reforma, y a partir del séptimo año desde su implementación. A la vista de los resultados se observa cómo, aunque en general la descentralización tuvo un efecto limitado tanto en el corto como en el largo plazo, los efectos agregados enmascaran dos tipos de efectos. Por un lado, encontramos que para las regiones forales (“Full decentralization” en Figura 1 y Figura 2; País Vasco y Navarra), la descentralización tiene un efecto positivo (reducción en mortalidad neonatal/infantil) a partir del tercer año, estabilizándose a partir del quinto año aproximadamente. Por otro lado, observamos algunos efectos negativos de la descentralización política durante los primeros años de su entrada en vigor. Sin embargo, estos efectos negativos desaparecen en todos los casos en el largo plazo.
Figura 1. Efectos de la descentralización en la mortalidad neonatal

Nota: Aggregate effects: Efectos de la descentralización sin distinguir por tipo de descentralización; Full decentralization: descentralización política y fiscal en regiones forales que accedieron a las competencias sanitaria entre 1988 (País Vasco) y 1991 (Navarra); Political decentralization 1: descentralización política en regiones que accedieron a las competencias sanitarias antes del 2002; Political decentralization 2: descentralización política en regiones que accedieron a las competencias sanitarias después del 2002.
Figura 2. Efectos de la descentralización en la mortalidad infantil

Nota: Aggregate effects: Efectos de la descentralización sin distinguir por tipo de descentralización; Full decentralization: descentralización política y fiscal en regiones forales que accedieron a las competencias sanitaria entre 1988 (País Vasco) y 1991 (Navarra); Political decentralization 1: descentralización política en regiones que accedieron a las competencias sanitarias antes del 2002; Political decentralization 2: descentralización política en regiones que accedieron a las competencias sanitarias después del 2002.
Uno de los resultados fundamentales de nuestro trabajo apunta por tanto a que la descentralización en España redujo de forma considerable tanto la mortalidad infantil como la neonatal. Sin embargo, la reforma afectó única y exclusivamente a aquellas regiones que implementaron la descentralización tanto fiscal como política de sus servicios sanitarios, es decir, las regiones forales. Además, la magnitud del efecto es considerable: la descentralización en las regiones completamente descentralizadas redujo potencialmente en 1.1 el número de muertes de menores de un año por cada mil nacidos vivos, y de aproximadamente 0.8 menores de un mes de edad por cada mil nacidos vivos. Para el resto de regiones, no se encontraron efectos significativos de la descentralización, típicamente financiada mediante transferencias y con escasos niveles de autonomía local.
Aunque los cambios en los niveles de oferta (aproximados mediante la tasa de médicos por 100.000 habitantes) son un posible mecanismo explicativo, es posible que otros factores pudiesen haber contribuido a la mejora en salud, puesto que el efecto de la descentración se mantiene tras ajustar por la tasa de médicos.
Por otro lado, estos resultados no (solo) se deben al mayor nivel de renta de las comunidades forales, dado que los mismos efectos no se encuentran entre las comunidades de mayor renta que solo llevaron a cabo la descentralización política.
4. ¿Cuáles son nuestras principales conclusiones?
Los resultados de este trabajo sugieren que la descentralización intensifica la existencia de desigualdades entre regiones con diferentes niveles de renta, tal y como ya apuntaron estudios anteriores para el caso de la enseñanza en Argentina (Galiani et al., 2008), y la sanidad en Colombia (Soto et al., 2012), y al contrario que en el caso de Italia, donde la descentralización parece haber favorecido a las regiones con menores recursos (Cavalieri y Ferrante, 2016). Nuestro estudio además corrobora los resultados de estudios previos para España que apuntan a una falta de convergencia y un aumento en la evolución de las desigualdades en mortalidad infantil y esperanza de vida durante el largo proceso de traspaso de competencias (Montero et al., 2007). No obstante, conviene señalar que tanto en el estudio de Montero et al. (2007) como en el nuestro, la dispersión o desigualdad inter-regional no sería consecuencia de una reducción en los resultados en salud de las regiones más pobres, sino de una mejora en los resultados de salud en las regiones más prósperas.
Nuestros resultados también corroboran y complementan con medidas de salud objetivas los resultados de la literatura empírica que muestran que la descentralización en España no tuvo efecto sobre medidas subjetivas de satisfacción auto-percibida con el sistema sanitario (Antón et al., 2014). Aunque nuestros resultados están en la misma línea que los de este estudio, nuestro análisis señala la importancia de tener en cuenta la tipología de descentralización. De hecho, existe una corriente de la literatura que señala que la descentralización financiada con recursos propios –que hacen a los gobiernos locales más responsables de sus fuentes propias de recursos- podría derivar en patrones de gasto local más conservadores (Liberati y Sacchi, 2013).
Es probable, a la vista de nuestros resultados, que la descentralización en las regiones forales, que disfrutan tanto de un elevado volumen de ingresos propios como de una holgada autonomía a nivel local, haya tenido no solo un efecto considerable en los patrones de gasto local, sino que también haya servido para reforzar la visibilidad política de los gobiernos locales y su capacidad de respuesta a las necesidades locales (Rodden, 2003). Además, posiblemente el mayor nivel de autonomía les ha permitido desarrollar políticas sanitarias y reformas relevantes y efectivas para mejorar la salud de la población local. De hecho, las regiones forales han sido pioneras en la implementación de medidas sanitarias estrechamente vinculadas con la mortalidad infantil y neonatal, como la extensión de la cobertura a toda la población, incluyendo a niños, inmigrantes e individuos de escasos recursos (Rico, 1998; Rico y Costa-Font, 2005).
Los resultados de nuestro estudio deben tomarse con cautela; no necesariamente se debe concluir que la descentralización por sí misma es siempre beneficiosa. En el caso de España, la descentralización, junto con otras reformas de calado orientadas a la universalización sanitaria implementadas a finales de los ochenta y principios de los noventa, habrían estimulado los beneficios de esta reforma en las regiones que recibieron las competencias sanitarias tanto en materia fiscal como política durante el mismo periodo. Aunque nuestro trabajo aporta evidencia que la salud mejora tras las reformas de descentralización incluso tras ajustar por indicadores de oferta (tasa de médicos), no podemos explorar los mecanismos exactos que están detrás de nuestros resultados por limitaciones de los datos.

